Hello readers—bonus post today.
Let’s talk science.
I’ve been thinking lately about physics–how dancing is really just applied physics. Granted, that can be said of all motion, biological or otherwise, but to me dancing is a special case because a) I do it, b) it puts humans in more exotic physical conditions than everyday life, and c) I use physics to explain motion when I teach ballroom.
Take Viennese Waltz, for example.
One of the biggest problems I see when teaching beginner V-Waltz is Framing Too Far Away, and aside from the aesthetics, this issue has obvious consequences from a physics perspective.
If we ignore the fact that new ballroom dancers aren’t often comfortable having stomach and hip contact with virtual strangers, making an open frame is one of the best things to do to make V-Waltz impossible….which obviously isn’t the goal. In the other ‘frame’ dances–slow waltz, tango, foxtrot, quickstep–having an open frame is inconvenient. In V-Waltz it’s deadly.
Let’s take our frame of reference to be the rotating couple, not the whole dance floor, since that is shaped like a NASCAR track and I need a circle for my math and my sanity.
When objects move, they are subject to a variety of forces—gravity, friction, air resistance, buoyancy, and more. Following Newton’s laws, objects will continue moving in whichever way they are currently moving unless acted upon by a force. A car will roll until you brake, until the friction between the tires and the road eats away at its velocity, or until the car collides with that telephone pole. (Don’t text and drive, kids!)
If an object like, say, a dancing couple, is rotating, it takes energy to make it change direction. Think of a top—if you spin it and then try to stop it with your fingers and spin the other way, it requires some force on your part. In physics the amount of resistance an object has to changes in rotation is called the Moment of Inertia. Basically the greater the moment of inertia, the harder it is to change the direction of motion.
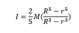
If we assume our V-Waltz-ing couple to be a hollow sphere–so that the mass of the couple is distributed along the outside edge, as opposed to throughout a solid sphere–the moment of inertia is

where M is the mass of the object, and R is the distance from the axis of rotation to the outside of the couple, and r is the distance from the axis of rotation to the inside of the couple. Confused? See Image 1 below.
I don’t want to get into *why* the above equation works, as it involves a fair amount of calculus and we’d be here all day, but what really matters for my point is R and r. R is the distance from the axis of rotation to the edge of the circle. In our simplified V-Waltzing couple, it is the distance from a point in between the couple to their furthest point, like their outstretched arms or back. Likewise, r is the distance from that same point in between the couple to their nearest edge, probably their stomachs.

The example often given for the conservation of angular momentum is that of a spinning ice skater, who, when she pulls in her arms, increases angular velocity—i.e. spins faster. But that example doesn’t quite work here, since we have two distinct cases.
Case 1: Closed Frame.
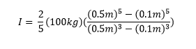
Let’s assume my partner and I have a combined mass of 100 kilograms, distance R is 0.5 meters, and distance r is 0.1 meters. We are in closed frame such that our stomachs are only a few centimeters apart. That way, the equation looks like this:

Which comes out to be:

Case 2: Open Frame
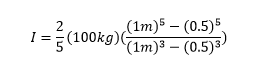
Now let’s assume the two partners are further apart and the distance R is 1 meter and the distance r is 0.5 meters. That makes:

Which comes out as:

SEE!? It’s FOUR TIMES harder to change direction in open frame than closed frame!
Math shenanigans aside, what this really means is that the larger a circle the dancers make with their two bodies, the harder it will be to maintain frame and to move linearly as well as rotational-y. So let your ribs make friends with your partner’s ribs and BE the axis of rotation. I promise it’ll be more fun.
Side note: An unusual number of physicists in the world are ballroom dancers—Neil Degrasse Tyson, Bill Nye, my husband, and a third of the SU physics department included. Coincidence? I THINK NOT.
The third physicist thinks that your distance may allow you to use a larger angular momentum if you are further apart from each other, though.
The effect you are describing would still there, but only linear in the distance, not quadratic. So the difficulty with the distance would boil down to having to run a bigger circle in the same time.
LikeLike